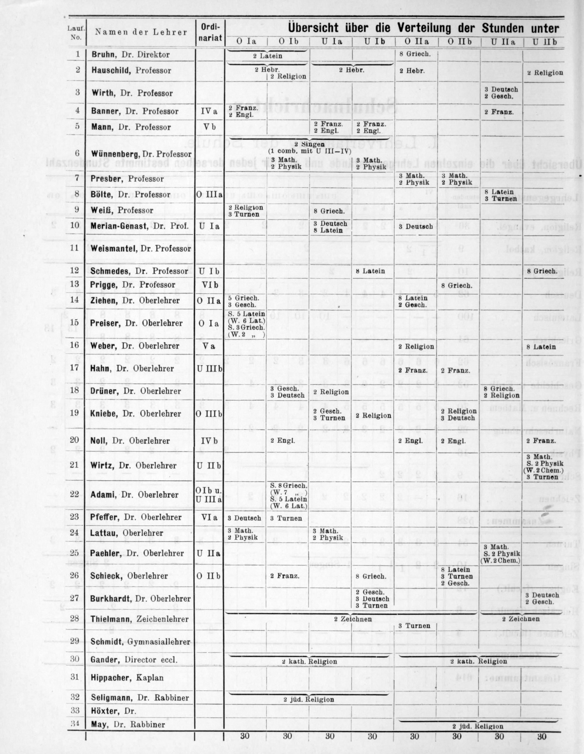
Lant] Namen der Lehrer rd. Ubersicht über die Verteilung der Stunden unter Noo, Ilrariat On dIbw lI Lö Ie lomee 1 Bruhn, Dr. Direktor 2 Latein. 5 8 Griech. 2 Haosohilc. Nrofessor— 4 8. Preigion 2 Köbr⸗. 2 Hebr. ² Religion 3 Wirth, Dr. Professor V 3 Denteh 4 Banner, Dr. Professor IVa 1 Ee 1 V ² Franz 5 hanm, Dr. Professor V kal kih. 8* un SaIV 3 4 61 comb. mit—- IV) 6 Wünnenberg, Dr. Professor 33 Aath. 3 Aach. 1J 2 Physik 2 Physik- 2 Presber, Professor— 2 Narhk 3 Nardin— 8 Bölte, Dr. Professor 0 IIIa 1 3 Perein. 9 Weiß, Professor ² Kamgao* s Griech. 10 Merian-Genast, Dr. Prof. U Ia 8 Peucsoh 3 Deutsch V 11 weismantel, Dr. Professor I V V ——C—C—C—C—C—C—äᷓ́—— 1 12 Schmedes, Dr. Professor U Ib V 8 Latein s Griech. 13 Prigge, Dr. Professor VIb s Griech. 14 Liehen, Dr. Oberlehrer 0 IIa ⁵ Grleh.— 6 Lacein s Tata 4 5 6 Lat 15 Preiser, Dr. Oberlehrer[O Ia M rlat) —— lee———·———— 16 Weber, Dr. Oberlehrer Va 2 Religion s Latein 17 Hahn, Dr. Oberlehrer U IIIb 2 Franz. 2 Franz. 1s deüner, Dr. Oberehrer— Baaden Nensun 1 19 Kniebe, Dr. Oberlehrer O IIIb ³ Seseh 2 Religion 2 Beledn 20 Noll, Dr. Oberlehrer IV b 2 Engl 2 Engl. 2 Engl. 2 Franz. 1 3 Math. 21 Wirtz, Dr. Oberlehrer[U IIb 2hen — 3 Turnen OTbu 5 Griech. 5.„7„ 22 Adami, Dr. Oberlebrer 0U IIIa K 5Latein —(GW. 6 Lat.)—— 23 Pfeffer, Dr. Oberlehrer VIaſs Deutsch 3 Turnen 9 it, k Matn. Hairirr. 5 24 Lattau, Oberlehrer Lupsik 3 Larhik 8““ 3 Math. 25 Pahiere Dr. Oberlehrer[U IIa S. 2 Physik ————(W. 2 Chem.) 8 Latein 26] Schieck, Oberlehrer 0 IIb 2 Franz s Griech. 3 Turnen —— 2 Gesch. 2 Gesch. 3 Deutsch 27 Gurkharat,D Dr Oberlehrer 3 Deutscn 2 Geseh- 28 Thielmann, Zeichenlehrer 2 Zeichnen 2 Zeichnen —*.. 4—— 3 Turnen———. 29 Schmidt, Gymnasiallehrer 30 Gander, Director eccl..— 2² kath. Religion—— Religion—— . kelgen 1 31 Hippacher, Kaplan V G ——————— 1———— 32 Seligmann, Dr. Rabbiner 2 33 Höxter, Dr. 8 3 1 34 May, Dr. Rabbiner Wdd Keliglon ſ ö. 5—55N5
Jahrgang
1910
Einzelbild herunterladen
verfügbare Breiten


